Parallel Parking Mathematics - Attempt 3a (Dec 16, 2009)

Back to mathematics of parking page

Note: The animations below use U.S. customary units.
Metric versions of the animations are also available, by special request from Latvia!


Yesterday the news story British Mathematician Perfects Parallel Parking (Dec 15, 2009) appeared in numerous major news outlets. With a little high-school level math, the derivation of Professor Simon Blackburn's formula becomes evident. However, it also appears that the following assumptions were made in order to reach this formula: cars back into parallel parking spots with steering wheel turned hard away from the curb the whole time, and upon completing the reverse motion, are parked perfectly flush against the curb with no need to pull forward.

My fellow math/science colleagues took exception to this approach and have spent a ridiculous amount of time at work over the past two days discussing how this situation ought to be analyzed (A first attempt modeling Professor Blackburn's formula led me to believe that the published formula was far too conservative).

While my colleagues and I have been venturing to solve this problem with good ol' paper and pencil, the assumptions we've settled on yielded numerous parameters and an equation for which I don't believe an exact solution exists. I've turned to the free Geogebra mathematics software to better visualize the situation and arrive at a proposed solution.

In the Geogebra/Java file embeded below, drag the sliders to vary each of the following parameters. All distances are represented in feet. Press the pause button in the lower left corner to stop the animation. Hold the shift key and then drag to pan left/right/up/down.

  • d_c: desired distance from curb when parked
  • (alpha): angle that car forms with curb at moment that it stops reversing and starts moving forward
  • r: curb-to-curb turning radius
  • l: wheel base (distance between front and rear axles)
  • k: distance from front axle to front bumper
  • j: distance from rear axle to rear bumper
  • w_0: width of car being parked
  • w_1: width of adjacent car in front of car being parked (including any space from curb)
  • w_2: width of adjacent car behind car being parked (including any space from curb)
  • optimized: toggle switch allowing you to either use the "optimized" value of alpha that minimizes the value of d, or play with different non-optimal values of alpha (added in 12/26/11 update)
  • d: excess length of parking space required beyond one full car length; the output produced as a function of all the other parameters

To minimize the available distance needed to park, first set all the car's physical dimensions and parameter d_c. Toggle on the optimized switch. Then adjust d_c if necessary to ensure that the car does not interfere with the curb while backing up.

I've had trouble getting these applets to load within this web page reliably. If so motivated, you may download this file and open within the free Geogebra software.

This is a Java Applet created using GeoGebra from www.geogebra.org - it looks like you don't have Java installed, please go to www.java.com

Note:

  • With the optimized toggle off, drag both d_c and (alpha) all the way to 0 in order to simulate the assumptions used by Professor Blackburn in the noted article, and note how much the required excess space d is increased.

Assumptions:

  • Optimized parking motion occurs as follows: At an ideal start position, steering wheel is turned hard away from curb, car backs up along an arc, car stops, steering wheel is turned hard toward the curb, and car pulls forward along an arc until parallel to curb.
  • Desired distance from curb will be achieved in one take of reverse/forward motion. In actuality, space from curb could be lessened by successive reverse/forward motions along appropriate arcs of travel.
  • Back bumper may not cross the curb line. In actuality, the bumper would most likely be able to pass over the curb until the rear tire makes contact with curb.
  • Center of car rotation lies on the same line as the rear axle.
  • Curb-to-curb turn radius r is the distance between the center of rotation and the center of the outer front tire's outer wall.
  • Collision with car parked behind may occur by either: (1) Rear street-side corner of car being parked contacts front bumper of parked car, or (2) Rear bumper of car being parked contacts front street-side corner of parked car
  • Mr. White has nothing better to do during the evenings of exam week.

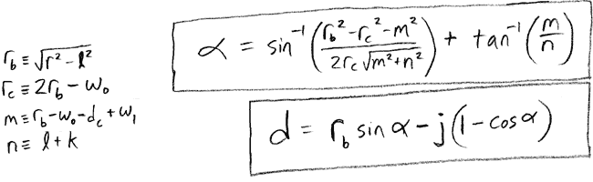
Update: Dec 25, 2009

Took another crack at an algebraic solution for the optimal case, and found a formula for (alpha) and d in terms of all the independent parameters. I can't help but think that a geometry of such relative simplicity should produce a solution that can be simplified further than mine, but I cannot find it at this time. In any case, this solution is verified by the Geogebra model.

Click on image of the formulas to see the entire derivation (pages 1-3).


Update: Dec 19, 2010

After recent correspondence with Professor Simon Blackburn, the British mathematician who authored the parallel parking report that received press in late 2009, I became aware that some of my assumptions weren’t clear (Also, all that work which was so fresh in my mind a year ago sure is confusing in retrospect!) I had started with the notion that parallel parking involves a car moving along two tangent arcs as shown in my write-up and Geogebra models (Professor Blackburn assumed motion along a single arc – this was the major difference between our models). My approach from there was as follows:

Given all the physical parameters defining the geometry of the parking situation, I focused on three different “clearances” between the moving car and its surroundings:

  • During the back-up along the arc, clearance with the rear corner of the parked car in front
  • At the finish of the back-up along the arc, clearance with the front bumper of the parked car in back
  • At the finish of pulling forward along the arc until parallel to the curb, clearance with the rear bumper of the parked car in front

I argue that in an “optimized” scenario, all of these physical clearances would be as small as possible. Therefore, my goal was to solve for the angle alpha that could “zero” all of these clearances.

It turns out that there is a fourth clearance that must also be considered:

  • At the finish of the back-up along the arc, clearance between the rear corner of the moving car and the curb

My formula for the “optimized” alpha value does not ensure that this curb clearance is zeroed (I would have had to make d_c a dependent variable in order to do that, and I had decided from the start that I wanted d_c to be independent). An inequality on page 2 of the write-up presents an inequality that checks for running up onto the curb. In the Geogebra animation, it is also up to the user to adjust the value of d_c to ensure that such interference does not occur.


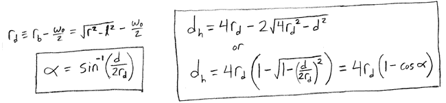
Parallel Parking Mathematics - Attempt 3b (Dec 20, 2009)

Amid the conversations with colleagues, we discussed the geometry of shimmying closer to the curb through successive back and forth motions while strategically turning the steering wheel completely to the left or right. The mathematics was much easier for this scenario, and I was able to arrive at an equation (included in the animation) giving how much horizontal/lateral distance d_h can be gained in each iteration.

Note that this lateral distance does not depend on the distance from the curb d_c, yet if d_c is made too small, the front tire of the car will cross the curb line at one point in the process. The animation is programmed to indicate when the center of the front tire crosses the curb line.

All the parameters are identical to the ones defined above. However, in this scenario, the excess parking space length d is an independent variable that may be varied with a slider, and (alpha) is a dependent variable.

Note that in this scenario I've assumed that the car will end be parallel to the curb at the end of each iteration. No claim is made that this constraint is necessary, or even optimal in actual parallel parking situations where shimmying is required.

I've had trouble getting these applets to load within this web page reliably. If so motivated, you may download this file and open within the free Geogebra software.

This is a Java Applet created using GeoGebra from www.geogebra.org - it looks like you don't have Java installed, please go to www.java.com


Update: Dec 25, 2009

Click on image of the formulas to see the entire derivation (pages 4-5).


Jerome A White, December 2009, Created with GeoGebra